Water-drive Typecurves & Models Theory
Transient Water-drive Model
The transient water-drive model consists of dimensionless typecurves, implemented in Blasingame, Agarwal-Gardner and NPI. The typecurve model has the following characteristics:
- Assumes an infinite acting aquifer with a stationary boundary
- Assumes a radial edge water-drive system (radial composite model)
- Ideal for very large aquifers of low to medium mobility
- Designed for early-time analysis, as it is a pressure transient model
- Water influx is not calculated, reservoir material balance is not corrected
The dimensionless typecurves and definitions are shown below.
Mobility Ratio (M):
The typecurves are based on a radial composite model, with the outer region representing the aquifer. With typecurves you can match production data to typecurve models characterized by several different levels of aquifer mobility, relative to the reservoir. The mobility ratios range from zero (no aquifer) to ten (effectively constant pressure boundaries). The aquifer model assumes a water zone of infinite extent. Thus, by matching to the water-drive typecurves you can determine the oil / gas –in-place, as well as "aquifer strength" in the form of a mobility ratio (the aquifer permeability is also calculated based on an assumed water viscosity). The practicality of estimating hydrocarbon volumes using water-drive typecurves is a strong function of, among other things, mobility ratio. The closer the mobility ratio is to one (1), the more difficult it is to identify the outer boundary of the reservoir, and thus the gas- / oil-in-place
The typecurves assume single-phase production from the reservoir, and a stationary reservoir / aquifer interface. For many active water-drive systems prior to water breakthrough, this is thought to be a reasonable approximation.
Aquifer typecurve matching is performed in much the same way as that of the volumetric models. If the data contains enough character to show the transition from the reservoir zone to the water bearing zone, the hydrocarbons-in-place can be estimated effectively. The success of the methodology depends on there being a clearly identifiable transition region, which is not the case if the mobility ratio is close to one. With the aquifer typecurves, the user must choose both a transient (dimensionless reservoir radius) stem and an Aquifer Mobility stem.
Pseudo-Steady State Water-drive Model
The pseudo-steady state (PSS) water influx model is based on work by Fetkovich et al. It is implemented in the Blasingame, Agarwal-Gardner, FMB and NPI methods. The model characteristics are as follows.
- Assumes finite aquifer, modeled as a tank
- Assumes a geometry independent transfer coefficient (productivity index) which prescribes how much water flows between aquifer and reservoir
- Ideal for limited aquifers of medium to high mobility
- Designed for EARLY-TIME analysis, prior to water break-through
- Water influx is calculated, reservoir material balance includes the effect of water influx
The conventional use of the PSS water-drive model is in history matching P/Z data from gas reservoirs. In RTA its implementation is for the flowing well problem (not static data). A schematic of the model is shown below.
The objective of the model is to simultaneously solve the aquifer influx equation with the material-balance equation for the reservoir. For more information, see sub-topics Material Balance Time for Water-drive Reservoirs and Calculation of Reservoir Pressure and Water Influx for a Reservoir Under Active Water Drive.
The implementation of the PSS method involves a process called inverse modeling. This process uses the standard (volumetric) typecurves as a base model and subtracts the water influx effect from the data, so as to collapse the production response (q / Dp vs. tca) back onto the base typecurve. It is clear that the aquifer effect must be apparent in the data for the inverse modeling procedure to be effective.
The key matching parameters in the PSS model are the initial water-in-place (IWIP) and the aquifer productivity index (PI).
Material Balance Time for Water-drive Reservoirs
Oil Reservoirs (Undersaturated)
Starting with a general (undersaturated) oil material balance (including water influx):
Rearranging equation (1) and dividing both sides by q:
where:
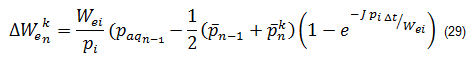
The PSS equation for oil, written in terms of material balance time is as follows:
Comparing equations (2) and (4), we see that:
Gas Reservoirs
For gas reservoirs, there are two non-linearities that exist:
- Compressibility factor (Z) and viscosity (μ) vs. reservoir pressure (p)
- Compressibility (c) and viscosity vs. time
In order to use the PSS equation for gas, these non-linearities must be linearized. For compressibility factor vs. reservoir pressure, this is done using pseudo-pressure (pp). For compressibility vs. time, this is done using pseudo-time (ta). Thus, we want to derive a form of the PSS equation that utilizes pseudo-pressure and pseudo-time.
Starting with a general form of the gas material balance (including water influx):
where:
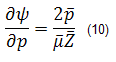
The definition of pseudo-pressure is:
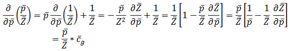
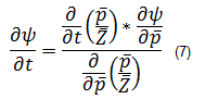
In order to get to the PSS equation for gas, we can use the chain rule as follows:
The first term in the numerator of (7) is calculated as follows:
Recognizing that:
where, from the definition of pseudo-time:
Combining equations (9) and (10), we get:
The denominator of (7) is calculated as follows:
(12)
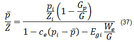
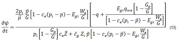
Substituting equation (11) into (8) and equations (12), (10) and (8) into (7), collecting like terms, and simplifying, we get:
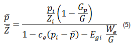
From equation (5), we see that:
Substituting equation (14) into (13) and simplifying, we get,
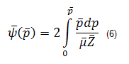
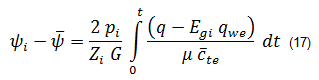
Integrating both sides of (15) with respect to dt, we get:
where:
To linearize equation (17), we define pseudo-time as:
Now, equation (17) is rewritten as:
An alternate form of pseudo-time may be calculated without having to do the numerical integration in (19). It is defined using equation (20) as:
Calculation of Reservoir Pressure and Water Influx for a Reservoir Under Active Water Drive
Oil Reservoirs (Undersaturated)
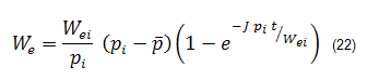
The Fetkovich water influx equation is as follows:
where:
Wei = Initial Encroachable Water = IWIP * pi * cw
Transfer coefficient / influx equation:
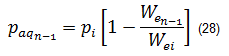
The oil material balance equation (including water influx) is as follows:
Rearranging (24):
where:
The aquifer material-balance equation is as follows:
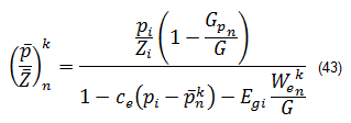
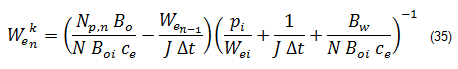
In order to solve for water influx and reservoir pressure, equations (22), (25) and (27) are discretized in time:
Aquifer Material Balance:
Water Influx:
Reservoir Material Balance:
An alternative method for solving the water influx problem is to use a different form of the influx equation, which accounts for the aquifer material balance intrinsically, and does not assume a constant pressure difference between aquifer and reservoir. This form of the influx equation assumes a constant rate of water influx:
where qw = the rate of water influx.
Discretizing equation (32), we get:
Solving (33) and (31) simultaneously, we get:
Simplifying the above, and including the reservoir material balance, we get:
Aquifer Material Balance + Water Influx
Reservoir Material Balance
Gas Reservoirs
The same influx equations as above also apply to gas reservoirs, except the gas material-balance equation is used, instead of oil.
The Fetkovich equations are as follows:
Aquifer Material Balance:
Water Influx:
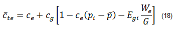
Reservoir Material Balance:
The modified influx equations are as follows:
Aquifer Material Balance + Water Influx
Reservoir Material Balance:
Aquifer Productivity Index
Radial Edge Water Drive
where:
raq / re >> 1
Mobility Ratio (M) can be calculated as follows:
For all raq/re values, the following more rigorous derivation is applicable:
where:
Now,