Abandonment Pressure Calculations
Abandonment pressure is calculated by using a standard Darcy equation at projected abandonment conditions. The abandonment conditions require the knowledge of:
- Gas rate
- Flowing pressure at surface (projected line pressure at abandonment)
The gas rate can either be a standard economic limit, derived from field and operator specific information (and economics), or can be calculated using minimum liquid lift criteria.
The abandonment (pseudo) pressure is presented for three simple models.
Note: These calculations are for Analytical, Gas Reservoirs only.
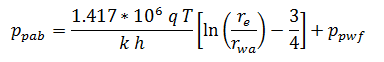
Vertical well, circular outer boundaries:
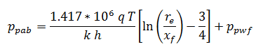
Fractured well, circular outer boundaries:
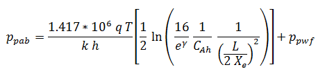
Horizontal well, square outer boundaries:
where γ = Euler's constant = 0.57721