Expected Ultimate Recovery Calculation

The advanced analysis methods (e.g., Blasingame, Agarwal-Gardner, Normalized Pressure Integral and Transient) are geared towards calculating fluids-in-place. Thus, a separate calculation must be done to determine the expected ultimate recovery (EUR).

CBM Wells

Expected ultimate recovery for CBM reservoirs can be based on two conditions:

1. Specifying an abandonment pressure or CO2 concentration

2. Specifying a recovery factor (RF)

When an abandonment pressure or CO2 concentration is specified, a recovery factor is calculated based on the isotherm according to the following equation:

The EUR is calculated according to the following equation:

EUR = RF * OGIP

When a recovery factor (RF) is specified, the EUR is calculated according the equation above.

Gas Wells

An abandonment pressure is typically specified first, although alternatively, a bottomhole flowing pressure at the projected abandonment conditions may be entered. Then the abandonment pressure (average reservoir pressure) is calculated as follows:

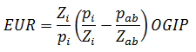
After an abandonment pressure has been specified (which is equivalent to the bottomhole flowing pressure at which gas ceases to flow into the well), the expected ultimate recovery is calculated as follows:

The recovery factor (RF) is then calculated as follows:

Thus, the expected ultimate recovery and recovery factor yielded by the advanced methods are not constrained by current and historic production constraints (i.e. they do not account for complications such as high line pressure or liquid loading).

Alternatively, the expected ultimate recovery can be set empirically by directly supplying a recovery factor value to the program.

Either method of determining expected ultimate recovery is allowed (except for water-drive models); thus both the expected ultimate recovery and recovery factor fields are editable.

Oil Wells

Oil reservoirs are rarely produced under single-phase volumetric conditions during their entire lifespan. Therefore, predicting the expected ultimate recovery using an oil material balance is not recommended. Instead, an empirical recovery factor must be entered in the program in order to yield an expected ultimate recovery value.