Fracture Properties

Fracture Flow Capacity (kfwf)

Fracture flow capacity is a measure of how conductive or how easily fluid moves through a fracture. It is defined as the product of fracture permeability (kf) and fracture width (wf), as shown below:

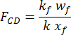
A large value of fracture flow capacity (>10,000 md ft) represents an infinite conductivity fracture, and yields a linear fracture flow response on the derivative. A small value of the fracture flow capacity (<10,000 md ft) represents a finite conductivity fracture and may yield a bilinear fracture flow response on the derivative. When the value of fracture flow capacity is divided by the product of formation permeability and fracture half-length, the result is known as the dimensionless fracture conductivity, defined as:

This dimensionless form is a more common measure of fracture conductivity that is found in the literature.

Fracture Half-Length (xf)

A hydraulic fracture is typically modeled by assuming it extends in a straight line equally on each side of the wellbore as shown in the following diagram.

As shown, the fracture half-length is the distance from the well to the tip of the fracture.

The fracture half-length depends on the size of the fracture treatment and varies from a few feet to a few hundred feet. In pressure and rate transient analysis it is estimated from the linear fracture flow analysis.