Langmuir Isotherm
Adsorption
The matrix systems of CBM and shale reservoirs have immense capacity for methane storage. The mechanism by which this occurs is called adsorption. In adsorption, molecules of gas become attached to the surface of coal or to organic material in shale. Nearly all of the gas stored by adsorption to coal/shale exists in a condensed, near liquid state. Adsorption can be visualized by imagining a magnet attached to a metal surface, or lint attached to a sweater. This is different from absorption where one substance becomes trapped inside another, such as a sponge soaking up water. Adsorption is a reversible process, because it involves weak attraction forces.
Typically, coal and shale reservoirs can store far more gas in the adsorbed state than conventional reservoirs can hold by compression at pressures below 1000 psia. Since the volume of a cleat or fracture system is small when compared to the volume of the reservoir, free gas only accounts for a small portion of the gas stored in coal/shale. As a result, the pressure volume relationship is often described by the desorption isotherm only.
Langmuir Isotherm Formulation
The release of adsorbed gas is commonly described by a pressure relationship called the Langmuir Isotherm. The Langmuir adsorption isotherm assumes that the gas attaches to the surface of the coal or shale, and covers the surface as a single layer of gas (a monolayer). At low pressures, this dense state allows greater volumes to be stored by sorption than is possible by compression.
The typical formulation of Langmuir isotherm is:
where Cg is the gas content measured in scf/ton of coal or shale.
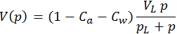
The above equation assumes pure coal/shale. For application to CBM reservoirs in the field, the equation is modified to account for ash and moisture content of the coal.
Langmuir Volume
The Langmuir Volume is the maximum amount of gas that can be adsorbed to coal or shale at infinite pressure. The following plot of a Langmuir isotherm demonstrates that gas content asymptotically approaches the Langmuir volume as pressure increases to infinity.
The units for Langmuir volume are scf/ton (volume gas per mass of unit coal/shale). This can be converted to scf/ft3 (volume of gas per volume unit of coal/shale) by multiplying it by the coal/shale bulk density.
Langmuir Pressure
The Langmuir pressure, or critical desorption pressure, is the pressure at which one half of the Langmuir volume can be adsorbed. As seen in the diagram below, it changes the curvature of the line and thus affects the shape of the isotherm.
Extended Langmuir Isotherm (ELI)
The gas adsorbed on coal is not always pure methane. Coal can also adsorb appreciable amounts of carbon dioxide, nitrogen, and heavier hydrocarbons such as ethane and propane. Each gas does not adsorb independently; rather they compete for the same adsorption sites. Consequently, the sum of the adsorbed volume of each component is less than when any of the gases acts independently.
The use of Langmuir isotherms in shale gas is still a relatively new development. It is possible that extended Langmuir isotherms may be required in the future but there is currently no usage, and so there is no theoretical support for extended Langmuir isotherms for shale gas.
In these cases, a multi-component gas adsorption isotherm is needed in order to predict the produced gas composition, gas-in-place, rates, and reserves. A multi-component gas adsorption isotherm is required for primary recovery by pressure depletion and especially for secondary recovery by CO2/N2 injection. Among existing methods, extended Langmuir isotherm is relatively simple, and reasonably accurate in estimating multi-component adsorption behavior. They work well for binary mixtures. Accuracy of extended Langmuir isotherm, however, decreases as the pressure increases.
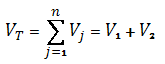
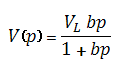
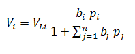
The Langmuir isotherm can be alternatively expressed as:
where:
Thus, using the above form of the equation, the extended Langmuir isotherm is as follows:
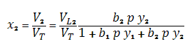
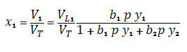
For a two component mixture of methane (component 1) and carbon dioxide (component 2), the Langmuir volume is calculated using:
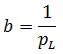
where p1 and p2 are partial pressures of component 1 and 2 given by:
and![]()
y1 and y2 are component mole fractions and for a binary mixture:
The total amount of gas adsorbed on the coal at any given pressure is given by:
V1 and V2 represent the amounts (in scf/ton) of components 1 and 2 adsorbed on the coal. The values of V1 and V2 are initially known as they represent the gas content for each component and can be determined from a canister test (measuring the total volume of gas desorbed from a coal sample and analyzing its composition).
The mole fraction of each component in the adsorbed phase can then be defined as:
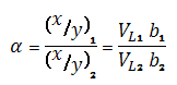
The above equation expresses the equilibrium relationship that exists between the components in the adsorbed phase and the free gas phase. This split of methane between different available phases (i.e. gas phase and adsorbed phase) is called the separation factor or selectivity ratio and is defined as:
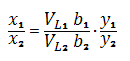
where (x / y)1 is methane mole fraction in adsorbed phase over methane mole fraction in gas phase. (x / y)2 is calculated the same way using carbon dioxide.
As a result and assuming a binary system, given α and x1, we can calculate the other mole fractions:
Isotherm Variability
There are various elements that can affect the shape of the isotherm for coal. They include:
- Temperature — An isotherm is based on the assumption that the temperature is constant. The adsorption capacity of coal decreases as temperature increases. When doing any analysis on coal or shale, it is important to use the isotherm based on the reservoir temperature.
- Moisture Content — Moisture competes with methane for adsorption sites on the surface of coal. There is also a possibility that moisture blocks gas access to micropores. Gas adsorption measurements done on dry coal usually give higher values for gas content than for wet coal.
- Ash — Ash is part of coal that does not adsorb gas.
- Basis of Calculation — There are several bases for reporting isotherms. It is important to realize that the same coal sample can have significantly different parameter values depending on the basis used. There are two bases that are commonly used:
-
- As Received — This basis represents in-situ conditions, and so is a good basis to use when determining reserves and simulating reservoir conditions.
- Dry and Ash Free (DAF) — The DAF basis properties are calculated by excluding moisture and ash. The main usefulness of the DAF basis is to compare coal samples from different formations. Having coal on a DAF basis allows for direct comparison of the base amount of gas a certain sample of coal can hold. In gas content measurements, the DAF basis usually has higher gas content values than the as received values for the same sample.
Undersaturation
The Langmuir Isotherm describes the maximum amount of gas that a coal can hold at a specified pressure and temperature. Several factors may result in a coal holding less than the maximum amount of gas as represented by the isotherm. Such coals are termed undersaturated. An undersaturated coal can be represented graphically by an initial gas content that lies below the isotherm.
In order for an undersaturated coal to begin gas production, the reservoir pressure must be depleted to the desorption pressure. The desorption pressure is the pressure at which the initial gas content will lie on the isotherm. Gas will start desorbing from the coal when the reservoir reaches this pressure.