Choke theory

The following choke equations apply to single-phase flow and multiphase flow.

Specific heat ratio

where:

Cp = specific heat capacity of gas at constant pressure

Cv = specific heat capacity of gas at constant volume

Both of the above are evaluated at upstream pressure and temperature.

Critical pressure ratio

The critical pressure ratio is the theoretical minimum of downstream versus upstream pressure. It is calculated from the specific heat ratio, k:

Sonic velocity

The maximum velocity (or maximum rate) of flow through a choke is limited to the speed of sound. Therefore, the sonic velocity is the maximum velocity.

The sonic velocity is reached when the actual pressure ratio is less than the critical pressure ratio:

Empirical equations

Single-phase gas flow

Rawlins-Schellhardt

Rawlins-Schellhardt equation

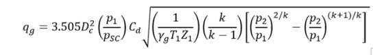
Szilas

Szils developed an equation for gas flow through chokes for both critical and subcritical flow.

where:

 

qg = gas rate, Mscfd

Dc = choke diameter, 64th of an inch

P1 = upstream pressure, psia

P2 = downstream pressure, psia

Psc = standard pressure, psia

Cd = choke discharge coefficient

Ύg = gas specific gravity (air = 1.0)

T1 = upstream temperature, *R

Z1 = upstream gas compressibility factor

k = CP / CV

This equation applies both at and above the critical pressure ratio, For more information, see references.

Multiphase flow

Ashford-Pierce

Ashford and Pierce developed a correlation specifically describing multiphase flow through safety valves and tested it against field data. Their correlation has the form:

Ashford-Pierce equation

where:

Cd = choke discharge coefficient

D = choke diameter, 64th of an inch

Bo = oil formation volume factor, rbbl / bbl

Fwo = water oil ratio, bbl / bbl

T1 = upstream temperature, *R

P1 = upstream pressure, psia

z1 = gas compressibility factor at upstream conditions

RF = producing gas oil ratio, scf / bbl

Rs = solution gas oil ratio, scf / bbl

= ratio of downstream pressure to upstream pressure, P2 / P1

k = CF / Cs

Ύo = oil specific gravity (pure water = 1.0)

Ύw = water specific gravity (pure water = 1.0)

Ύg = gas specific gravity (air = 1.0)

This relationship applies both at and above the critical pressure ratio, c.

Ashford and Pierce further define the critical pressure ratio, c, as

As this is implicit in Ύc it must be solved iteratively.

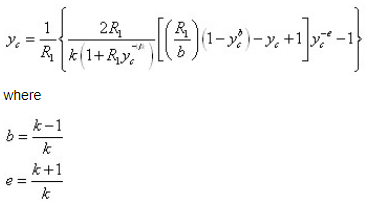
The Ashford-Pierce relationship cannot directly be applied here because oil may or may not be one of the flowing phases. However, their relationship for the fluid velocity downstream of the choke gives rise to an alternative approach that is amenable to solution with gas plus one or more liquid phases present:

where:

µ2 = downstream fluid velocity, ft / s

P1 = upstream pressure, psia

k = CP / CV

= ratio of downstream pressure to upstream pressure, P2 / P1

g = mass weight equivalence factor, 32.174 lb ft / lb ft / ls s2

ρf1 = total fluid density at upstream conditions, lb / ft3

ρ1 = liquid density, lb / ft3

Assuming critical flow in the choke throat, the downstream pressure and fluid velocity can be calculated, and with the latter plus the produced fluid ratios, the mass flowrate of each phase is obtainable.

For more information, see references.

Achong

Achong updated Gilbert’s relationship on the basis of data from oil wells in the Lake Maracaibo field of Venezuela. The rate of multiphase flow through a choke and the upstream pressure are, according to Achong, correlated by the following relationship:

where:

P1 = upstream pressure, psia

q1 = liquid flowrate, bbl / d

RP = producing gas liquid ratio, scf / bbl

DC = choke diameter, 64th of an inch

For more information, see references.

Baxendell

Baxendell’s correlation linking the rate of multiphase flow through a choke and the upstream pressure – and fundamentally an update of the Gilbert correlation – is:

where:

P1 = upstream pressure, psia

q1 = liquid flowrate, bbl / d

RP = producing gas liquid ratio, scf / bbl

DC = choke diameter, 64th of an inch

For more information, see references.

Gilbert

Gilbert developed a generalized correlation based on data from flowing oil wells in the Ten Section field of California. The rate of multiphase flow through a choke and the upstream pressure can be correlated, according to Gilbert, by the following relationship:

where:

P1 = upstream pressure, psia

q1 = liquid flowrate, bbl / d

RP = producing gas liquid ratio, scf / bbl

DC = choke diameter, 64th of an inch

For more information, see references.

Ros

The rate of multiphase flow through a choke and the upstream pressure are, according to Ros on the basis of Gilbert’s and other prior work, correlated by the following relationship:

where:

P1 = upstream pressure, psia

q1 = liquid flowrate, bbl / d

RP = producing gas liquid ratio, scf / bbl

DC = choke diameter, 64th of an inch

For more information, see references.