General fluid correlations

Gas PVT correlations

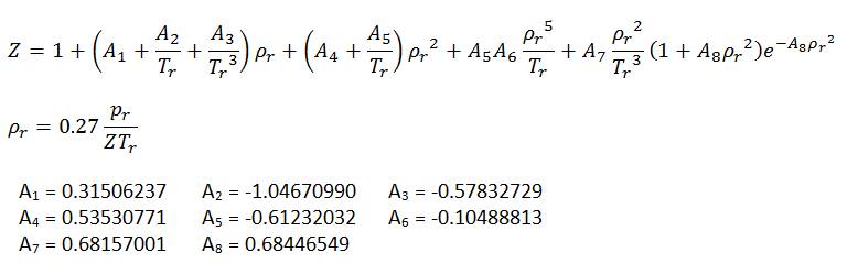
BWR

Z factor, viscosity, and other gas properties have been correlated accurately with corresponding-states principles, where the property is correlated as a function of reduced pressure and temperature.

pr = p / pc and Tr = T / Tc

In the BWR methodology, pc and Tc for gas mixtures are determined from the gas gravity from the following relationship.

The upper curve for each is used for dry gas and the lower curve for wet gas. Corrections for non-hydrocarbon components are also provided as insets in the plot.

BWR determination of Z

Correcting for Sour Gas

Compressibility

Piper Detail

Similar to the calculations detailed above, with the Piper Detail correlation gas properties are determined from the Tc and pc of the gas mixture. When using Piper Detail, the user provides a detailed composition of the gas. In this case, rather than using a tabular/graphical approach to determining Tc and pc, they can be determined directly.

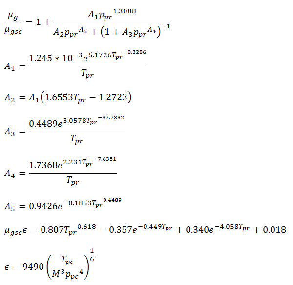
Gas viscosity correlations

Gas viscosity correlations for Carr et al., Lee, Gonzalez, and Eakin, and Lucas are shown below.

Carr et al

Lee, Gonzalez, and Eakin

Lucas

Oil PVT correlations

Vasquez & Beggs

Developed from data obtained from fields all over the world and generally applicable for all oil types. Covers a wide range of pressures, temperatures and oil properties.

De Ghetto et al

These equations are suitable for oils with gravity of 10° < API < 22.3°. A modified version of the De Ghetto equations exists for oils below 10°, however this is outside the range of Piper™ intended use and the equations are not listed.

Glaso

This correlation is based on North Sea crude-oil data. It is suitable for oil gravity of 22° < API < 48° and believed to be less accurate for Rso > 1400 scf/STBO. This equation cannot be used for p > 19285 psia as a result of the pb* equation.

Hanafy et al

This correlation has been developed independent of oil gravity and temperature. Comparisons have demonstrated that it is more applicable to light oils.

Standing

Applicable for oil gravity of 16° < API < 64°

The oil compressibility in this equation is obtained from the Vasquez and Beggs correlation.

Petrosky and Farshad

Applicable for oil gravity of 16° < API < 45°. For Gulf of Mexico oils, it has been found to provide improved results over Standing, Vasquez and Beggs, and Glaso.

Velarde at al

Applicable for oil gravity of 12° < API < 55°

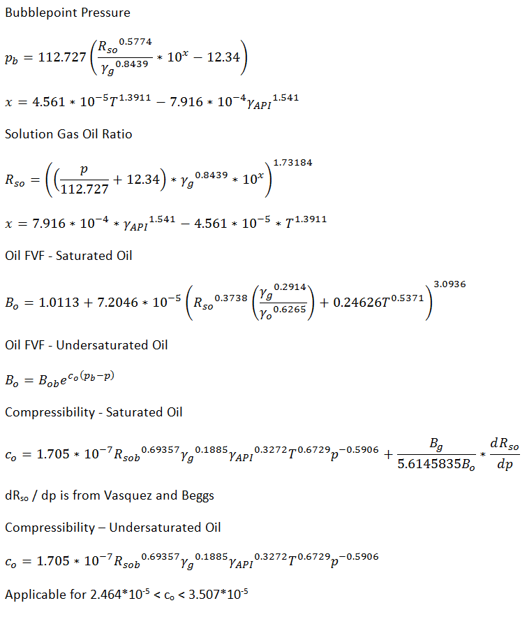
Solution Gas Oil Ratio for Saturated Oil

The reduced solution gas oil ratio solution below can be used to determine the actual solution gas oil ratio (Rso in the second equation) at any pressure below the bubblepoint.

This is used for a 10 step iteration process using the following equations. The 9th and 10th iterations are averaged for a final ρpo.

The oil compressibility in this equation is obtained from the Vasquez and Beggs correlation.

Oil Viscosity Correlations

Beggs and Robinson

Beggs and Robinson developed an empirical correlation for determining the viscosity of dead oil. The correlation originated from analyzing 460 dead oil viscosity measurements. The data set from which the results were obtained ranged from 16°API to 58°API and 70°F to 295°F. The correlation tends to overstate the viscosity of the crude oil when dealing in temperature ranges below 100°F to 150°F.

De Ghetto et al

All correlations listed are applicable to oil gravity of 10° < API < 22.3°. De Ghetto has also developed correlations applicable to oil gravity below 10°, however this is outside the intended use of Piper and these correlations are not listed.

Hanafy et al

Observations have demonstrated that this correlation is most appropriate for light oils.

Khan et al