Pressure Loss Correlations
A fluid flowing in a wellbore will experience pressure losses. The pressure losses can be broken into 3 different components:
- hydrostatic pressure loss
- frictional pressure loss
- kinetic pressure loss
For wellbores, the kinetic losses are generally minimal and can be ignored. Thus, the equation that describes the overall pressure losses in the wellbore can be expressed as the sum of two terms:
The hydrostatic pressure losses are a function of the fluid mixture density that exists in the wellbore. The frictional losses are due to a combination of the particular flow regime that the fluid can be considered to be traveling in as well as the composition of the fluid (of gas, liquid and condensate).
Pressure Loss Calculation Procedure
(The phrases "pressure loss", "pressure drop" and "pressure difference" are used by different people, but mean the same thing).
In Piper, the pressure loss calculations for vertical, inclined or horizontal pipes follow the same procedure:
1. Total Pressure Loss = Hydrostatic Pressure Difference + Friction Pressure Loss. The total pressure loss, as well as each individual component can be either positive or negative, depending on the direction of calculation, the direction of flow and the direction of elevation change.
2. Subdivide the pipe length into segments so that the total pressure loss per segment is less than twenty (20) psi. Maximum number of segments is twenty (20).
3. For each segment assume constant fluid properties appropriate to the pressure and temperature of that segment.
4. Calculate the Total Pressure Loss in that segment as in step #1.
5. Knowing the pressure at the inlet of that segment, add to (or subtract from) it the Total Pressure Loss determined in step #4 to obtain the pressure at the outlet.
6. The outlet pressure from step #5 becomes the inlet pressure for the adjacent segment.
7. Repeat steps #3 to #6 until the full length of the pipe has been traversed.
| Note: | As discussed under Hydrostatic Pressure Difference and Friction Pressure Loss, the hydrostatic pressure difference is positive in the direction of the earth’s gravitational pull, whereas the friction pressure loss is always positive in the direction of flow. |
Correlations
There are a number of fluid correlation, derived empirically, that account for the hydrostatic and frictional fluid losses in a wellbore under a variety of flow conditions. The correlations that are included in Piper are as follows:
Single Phase - Wellbores and pipelines:
- Fanning Gas
- Panhandle
- Modified Panhandle
- Weymouth
Multiphase - Pipeline:
- Modified Beggs & Brill
- Petalas and Aziz
- Flanigan
- Modified Flanigan
Multiphase - Wellbore:
- Modified Beggs & Brill
- Gray
- Hagedorn & Brown
Single Phase Flow Theory
Single Phase Friction Component
There are two distinct types of correlations for calculating friction pressure loss (ΔPf). The first type, adopted by the AGA (American Gas Association), includes Panhandle, Modified Panhandle and Weymouth. These correlations are for single-phase gas only. They incorporate a simplified friction factor and a flow efficiency. They all have a similar format as follows:
Where:
P1 and P2 = upstream and downstream pressures respectively (psia)
Q = gas flow rate (@ T, P)
E = pipeline efficiency factor
P = reference pressure (psia) (14.65 psia)
T = reference temperature (°R) (520 °R)
G = gas gravity
D = inside diameter of pipe (in)
Ta = average flowing temperature (°R)
Za = average gas compressibility factor
L = pipe length (miles)
κ, α, β, γ, v = constants
The other type of correlation is based on the definition of the friction factor (Moody or Fanning) and is given by the Fanning equation:
Where:
ΔPf = pressure loss due to friction effects (psia)
f = Fanning friction factor (function of Reynolds number)
ρ = density (lbm/ft3)
v = average velocity (ft/s)
L = length of pipe section (ft)
gc = gravitational constant (32.174 lbmft/lbfs2)
D = inside diameter of pipe (ft)
This correlation can be used either for single-phase gas (Fanning Gas) or for single-phase liquid (Fanning Liquid).
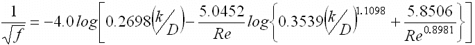
Single-Phase Friction Factor (f):
The single-phase friction factor can be obtained from the Chen (1979) equation, which is representative of the Fanning friction factor chart.
Where:
f = friction factor
k = absolute roughness (in)
k/D = relative roughness (unitless)
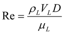
Re = Reynold’s number
The single-phase friction factor clearly depends on the Reynold’s number, which is a function of the fluid density, viscosity, velocity and pipe diameter. The friction factor is valid for single-phase gas or liquid flow, as their very different properties are taken into account in the definition of Reynold’s number.
Where:
ρ = density (lbm/ft3)
v = velocity (ft/s)
D = diameter (ft)
µ = viscosity (lb/ft*s)
Since viscosity is usually measured in "centipoise", and 1 cp = 1488 lb/ft*s, the Reynolds number can be rewritten for viscosity in centipoise.
References: Chen, N. H., "An Explicit Equation for Friction Factor in Pipe," Ind. Eng. Chem. Fund. (1979).
Single Phase Hydrostatic Component
Hydrostatic pressure difference (ΔPHH) can be applied to all correlations by simply adding it to the friction component. The hydrostatic pressure drop (ΔPHH) is defined, for all situations, as follows:
Where:
ρ = density of the fluid
g = acceleration of gravity
h = vertical elevation (can be positive or negative)
For a liquid, the density (ρ) is constant, and the above equation is easily evaluated.
For a gas, the density varies with pressure. Therefore, to evaluate the hydrostatic pressure loss/gain, the pipe (or wellbore) is subdivided into a sufficient number of segments, such that the density in each segment can be assumed to be constant. Note that this is equivalent to a multi-step Cullender and Smith calculation.
Single Phase Flow Correlations
There exist many single-phase correlations that were derived for different operating conditions or from laboratory experiments. Generally speaking, they only account for the friction component, i.e. they are applicable to horizontal flow. Typical examples are:
- Fanning Gas
- Fanning Liquid
- Panhandle
- Modified Panhandle
- Weymouth
There are several single-phase correlations that are available:
- Fanning – the Fanning correlation is divided into two sub categories Fanning Liquid and Fanning Gas. The Fanning Gas correlation is also known as the Multi-step Cullender and Smith when applied for vertical wellbores.
- Panhandle – the Panhandle correlation was developed originally for single-phase flow of gas through horizontal pipes. In other words, the hydrostatic pressure difference is not taken into account. We have applied the standard hydrostatic head equation to the vertical elevation of the pipe to account for the vertical component of pressure drop. Thus our implementation of the Panhandle equation includes BOTH horizontal and vertical flow components, and this equation can be used for horizontal, uphill and downhill flow.
- Modified Panhandle – the Modified Panhandle correlation is a variation of the Panhandle correlation that was found to be better suited to some transportation systems. Thus, it also originally did not account for vertical flow. We have applied the standard hydrostatic head equation to account for the vertical component of pressure drop. Hence our implementation of the Modified Panhandle equation includes BOTH horizontal and vertical flow components, and this equation can be used for horizontal, uphill and downhill flow.
- Weymouth – the Weymouth correlation is of the same form as the Panhandle and the Modified Panhandle equations. It was originally developed for short pipelines and gathering systems. As a result, it only accounts for horizontal flow and not for hydrostatic pressure drop. We have applied the standard hydrostatic head equation to account for the vertical component of pressure drop. Thus, our implementation of the Weymouth equation includes BOTH horizontal and vertical flow components, and this equation can be used for horizontal, uphill and downhill flow.
In Piper, for cases that involve a single phase, the Gray, the Hagedorn and Brown, the Beggs and Brill and the Petalas and Aziz correlations revert to the Fanning single-phase correlations. For example, if the Gray correlation was selected but there was only gas in the system, the Fanning Gas correlation would be used. For cases where there is a single phase, the Flanigan and Modified Flanigan correlations devolve to the single-phase Panhandle and Modified Panhandle correlations respectively. The Weymouth (Multiphase) correlation devolves to the single-phase Weymouth correlation.
The single-phase correlations can be used for vertical or inclined flow, provided the hydrostatic pressure drop is accounted for, in addition to the friction component. Even though a particular correlation may have been developed for flow in a horizontal pipe, incorporation of the hydrostatic pressure drop allows that correlation to be used for flow in a vertical pipe. This adaptation is rigorous, and has been implemented into all the correlations used in Piper. Nevertheless, for identification purposes, the correlation’s name has been kept unchanged. Thus, for example, Panhandle was originally developed for horizontal flow, but its implementation in this program allows it to be used for all directions of flow, and it is referred to as Panhandle when applied to both pipelines and wellbores.
Multiphase Flow Theory
Multiphase pressure loss calculations parallel single phase pressure loss calculations. Essentially, each multiphase correlation makes its own particular modifications to the hydrostatic pressure difference and the friction pressure loss calculations, in order to make them applicable to multiphase situations.
The presence of multiple phases greatly complicates pressure drop calculations. This is due to the fact that the properties of each fluid present must be taken into account. Also, the interactions between each phase have to be considered. Mixture properties must be used, and therefore the gas and liquid in-situ volume fractions throughout the pipe need to be determined. In general, all multiphase correlations are essentially two phase and not three phase. Accordingly, the oil and water phases are combined, and treated as a pseudo single liquid phase, while gas is considered a separate phase.
The friction pressure loss is modified in several ways, by adjusting the friction factor (f), the density (ρ) and velocity (v) to account for multiphase mixture properties. In the AGA type equations (Panhandle, Modified Panhandle and Weymouth), it is the flow efficiency that is modified.
The hydrostatic pressure difference calculation is modified by defining a mixture density. This is determined by a calculation of in-situ liquid holdup. Some correlations determine holdup based on defined flow patterns.
The multiphase pressure loss correlations used in this software are of three types.
- The first type (Flanigan, Modified Flanigan) is based on a combination of the AGA equations for gas flow in pipelines and the Flanigan multiphase corrections. These equations can be used for gas-liquid multiphase flow or for single-phase gas flow. They CANNOT be used for single-phase liquid flow.
| Note: | These two correlations can give erroneous results if the pipe described deviates substantially (more than 10 degrees) from the horizontal. |
- The second type (Beggs and Brill, Hagedorn and Brown, Gray) is the set of correlations based on the Fanning friction pressure loss equation. These can be used for gas-liquid multiphase flow, single-phase gas or single-phase liquid, because in single-phase mode, they revert to the Fanning equation, which is equally applicable to either gas or liquid. Beggs and Brill is a multi-purpose correlation derived from laboratory data for vertical, horizontal, inclined uphill and downhill flow of gas-water mixtures. Gray is based on field data for vertical gas wells producing condensate and water. Hagedorn and Brown was derived from field data for flowing vertical oil wells.
| Note: | The Gray and Hagedorn and Brown correlations were derived for vertical wells and may not apply to horizontal pipes. |
- The third type (Petalas and Aziz) is a mechanistic model combined with empirical correlations. This model can be used for gas-liquid multiphase flow, single-phase gas or single-phase liquid, because in single-phase mode, it reverts back to the Fanning Equations, which is equally applicable to either gas or liquid. Petalas and Aziz is a multi-purpose correlation that is applicable for all pipe geometries, inclinations and fluid properties.
Multiphase Friction Component
In pipe flow, the friction pressure loss is the component of pressure loss caused by viscous shear effects. The friction pressure loss is ALWAYS positive IN THE DIRECTION OF FLOW. It is combined with the hydrostatic pressure difference (which may be positive or negative depending on the whether the flow is uphill or downhill) to give the total pressure loss.
The friction pressure loss is calculated from the Fanning friction factor equation as follows:
Where:
ΔPf = pressure loss due to friction
f = Fanning friction factor
ρ = in-situ density
V2 = the square of the in-situ velocity
L = length of pipe segment
g = acceleration of gravity
D = pipe internal diameter
In the above equation, the variables f, ρ and V2 require special discussion, as follows:
Where:
ρ = density
V = velocity
D = diameter
µ = viscosity
Multiphase Friction Factor ():
This is obtained from multi-phase flow correlations (see Beggs and Brill under multiphase flow). This correlation depends, in part, on the gas and liquid flow rates, but also on the standard Fanning (single phase) friction factor charts. When evaluating the Fanning friction factor, there are many ways of calculating the Reynold’s number depending on how the density, viscosity and velocity of the two-phase mixture are defined. For the Beggs and Brill calculation of Reynold’s number, these mixture properties are calculated by prorating the property of each individual phase in the ratio of the "input" volume fraction and not of the "in-situ" volume fraction.
Multiphase Hydrostatic Component
The hydrostatic pressure difference is the component of pressure loss (or gain) attributed to the earth’s gravitational effect. It is of importance only when there are differences in elevation from the inlet end to the outlet end of a pipe segment. This pressure difference can be positive or negative depending on the reference point (inlet higher vertically than outlet, or outlet higher than inlet). UNDER ALL CIRCUMSTANCES, irrespective of what sign convention is used, the contribution of the hydrostatic pressure calculation must be such that it will tend to make the pressure at the vertically-lower end higher than that at the upper end.
The hydrostatic pressure difference is calculated as follows:
Where:
ΔPHH = the hydrostatic pressure difference
Δz = the vertical elevation change
ρ = the in-situ density of the fluid or mixture
g = acceleration of gravity
gc = conversion factor
In the equation above, the problem is really determining an appropriate value for ρ (rho), as discussed below:
For a single phase liquid, this is easy, and ρ equals the liquid density.
For a single phase gas, ρ varies with pressure, and the calculation must be done sequentially in small steps to allow the density to vary with pressure.
For multi-phase flow, ρ is calculated from the in-situ mixture density, which in turn is calculated from the "liquid holdup". The liquid holdup is obtained from multi-phase flow correlations, such as Beggs and Brill, and depends on the gas and liquid rates, pipe diameter, etc...
For a horizontal pipe segment, Δz = 0, and there is NO hydrostatic pressure loss.
Multiphase Friction Factor ():
The multiphase friction factor can be obtained from multiphase flow correlations. These correlations depend, in part, on the gas and liquid flow rates, but also on the standard Fanning (single phase) friction factor charts. When evaluating the friction factor, there are many ways of calculating the Reynold’s number depending on how the density, viscosity and velocity of the two-phase mixture are defined. The Reynolds Number used to calculate the multiphase friction factor may indeed vary with each correlation. The Reynolds Number is dimensionless and is defined as:
Where:
ρ = density (lbm/ft3)
v = velocity (ft/s)
D = diameter (ft)
µ = viscosity (lb/ft*s)
Since viscosity is usually measured in "centipoise", and 1 cp = 1488 lb/ft*s, the Reynolds number can be rewritten for viscosity in centipoise.
Density
Density (ρ) as applied to hydrostatic pressure difference calculations:
The method for calculating ρ depends on whether flow is compressible or incompressible (multiphase or single-phase). It follows that:
- For a single-phase liquid, calculating the density is easy, and ρ1 is simply the liquid density.
- For a single-phase gas, ρ1 varies with pressure (since gas is compressible), and the calculation must be done sequentially, in small steps, to allow the density to vary with pressure.
- For multiphase flow, the calculations become even more complicated because ρ1 is calculated from the in-situ mixture density, which in turn is calculated from the "liquid holdup". The liquid holdup, or in-situ liquid volume fraction, is obtained from one of the multiphase flow correlations, and it depends on several parameters including the gas and liquid rates, and the pipe diameter. Note that this is in contrast to the way density is calculated for the friction pressure loss.
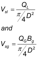
Superficial Velocities
The superficial velocity of each phase is defined as the volumetric flow rate of the phase divided by the cross-sectional area of the pipe (as though that phase alone was flowing through the pipe). Therefore:
Where:
Bg = gas formation volume factor
D = inside diameter of pipe
QG = measured gas flow rate (at standard
conditions)
QL = liquid flow rate (at prevailing
pressure and temperature)
Vsg = superficial gas velocity
Vsl = superficial liquid velocity
Since the liquid phase accounts for both oil and water (QL = Q0B0 + (QW – WC * QG) BW) and the gas phase accounts for the solution gas going in and out of the oil as a function of pressure (QG = QG – Q0Rs), the superficial velocities can be rewritten as:
Where:
QO = oil flow rate (at stock tank
conditions)
QW = water flow rate in (at stock
tank conditions)
QG = gas flow rate (at standard conditions
of 14.65psia and 60F)
QL = liquid flow rate (oil and water
at prevailing pressure and temperature)
BO = oil formation volume factor
BW = water formation volume factor
Bg = gas formation volume factor
RS = solution gas/oil ratio
WC = water of condensation (water content of natural gas, Bbl/MMscf)
The oil, water and gas formation volume factors (BO, BW, and BG) are used to convert the flow rates from standard (or stock tank) conditions to the prevailing pressure and temperature conditions in the pipe.
Since the actual cross-sectional area occupied by each phase is less than the cross-sectional area of the entire pipe the superficial velocity is always less than the true in-situ velocity of each phase.
Liquid Holdup Effect
When two or more phases are present in a pipe, they tend to flow at different in-situ velocities. These in-situ velocities depend on the density and viscosity of the phase. Usually the phase that is less dense will flow faster than the other. This causes a "slip" or holdup effect, which means that the in-situ volume fractions of each phase (under flowing conditions) will differ from the input volume fractions of the pipe.
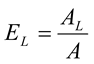
In-Situ Volume Fraction (Liquid Holdup)
The in-situ volume fraction, EL (or HL), is often the value that is estimated by multiphase correlations. Because of "slip" between phases, the "holdup" (EL) can be significantly different from the input liquid fraction (CL – lb/ft). For example, a single-phase gas can percolate through a wellbore containing water. In this situation CL = 0 (single-phase gas is being produced), but EL > 0 (the wellbore contains water). The in-situ volume fraction is defined as follows:
Where:
AL = cross-sectional
area occupied by the liquid phase
A = total cross-sectional area of the pipe
Input Volume Fraction
The input volume fractions are defined as:
We can also write this as:
Where:
Bg = gas formation volume factor
CG = input gas volume fraction
CL = input liquid volume fraction
QG = gas flow rate (at standard conditions)
QL = liquid flow rate (at prevailing
pressure and temperature)
Vsg = superficial gas velocity
Vsl = superficial liquid velocity
Vm = mixture velocity (Vsl
+ Vsg)
Note: QL is the liquid rate at the prevailing pressure and temperature. Similarly, QGBg is the gas rate at the prevailing pressure and temperature.
The input volume fractions, CL and EL, are known quantities, and are often used as correlating variables in empirical multiphase correlations.
Mixture Velocity
Mixture Velocity is another parameter often used in multiphase flow correlations. The mixture velocity is given by:
Where:
Vm = mixture velocity
Vsl = superficial liquid velocity
Vsg = superficial gas velocity
Mixture Viscosity
The mixture viscosity is a measure of the in-situ viscosity of the mixture and can be defined in several different ways. In general, unless otherwise specified, is defined as follows.
Where:
EL = in-situ liquid volume fraction
(liquid holdup)
EG = in-situ gas volume fraction
µm = mixture viscosity
µL = liquid viscosity
µG = gas viscosity
Note: The mixture viscosity is defined in terms of in-situ volume fractions (EL), whereas the no-slip viscosity is defined in terms of input volume fractions (CL).
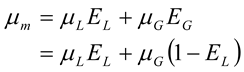
Mixture Density
The mixture density is a measure of the in-situ density of the mixture, and is defined as follows:
Where:
EL = in-situ liquid volume fraction
(liquid holdup)
EG = in-situ gas volume fraction
ρm = mixture density
ρL = liquid density
ρG = gas density
Note: The mixture density is defined in terms of in-situ volume fractions (EL), whereas the no-slip density is defined in terms of input volume fractions (CL).
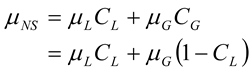
No-Slip Density
The "no-slip" density is the density that is calculated with the assumption that both phases are moving at the same in-situ velocity. The no-slip density is therefore defined as follows:
Where:
CL = input liquid volume fraction
CG = input gas volume fraction
ρNS = no-slip density
ρL = liquid density
ρG = gas density
Note: The no-slip density is defined in terms of input volume fractions (CL), whereas the mixture density is defined in terms of in-situ volume fractions (EL).
No-Slip Viscosity
The "no-slip" viscosity is the viscosity that is calculated with the assumption that both phases are moving at the same in-situ velocity. There are several definitions of "no-slip" viscosity. In general, unless otherwise specified, µNS is defined as follows:
Where:
CL = input liquid volume fraction
CG = input gas volume fraction
µNS = no-slip viscosity
µL = liquid viscosity
µG = gas viscosity
Surface Tension
The surface tension (interfacial tension) between the gas and liquid phases has very little effect on two-phase pressure drop calculations. However, a value is required for use in calculating certain dimensionless numbers used in some of the pressure drop correlations. Empirical relationships for estimating the gas/oil interfacial tension and the gas/water interfacial tension were presented by Baker and Swerdloff1, Hough2 and by Beggs3.
Gas/Oil Interfacial Tension
The dead oil interfacial tension at temperatures of 68°F and 100°F is given by:
Where
σ68 = interfacial tension at 68°F
(dynes/cm)
σ100 = interfacial tension at 100°F
(dynes/cm)
API = gravity of stock tank oil (API)
- If the temperature is greater than 100°F, the value at 100°F is used.
- If the temperature is less than 68°F, the value at 68°F is used.
- For intermediate temperatures, linear interpolation is used.
As pressure is increased and gas goes into solution, the gas/oil interfacial tension is reduced. The dead oil interfacial tension is corrected for this by multiplying by a correction factor.
Where:
p = pressure (psia)
The interfacial tension becomes zero at miscibility pressure, and for most systems this will be at any pressure greater than about 5000 psia. Once the correction factor becomes zero (at about 3977 psia), 1 dyne/cm is used for calculations.
Gas/Water Interfacial Tension
The gas/water interfacial tension at temperatures of 74°F and 280°F is given by:
Where:
σW(74) = interfacial tension at
74°F (dynes/cm)
σW(280) = interfacial tension at 280°F
(dynes/cm)
p = pressure (psia)
If the temperature is greater than 280°F, the value at 280°F is used. If the temperature is less than 74°F, the value at 74°F is used. For intermediate temperatures, linear interpolation is used.
Multiphase Flow Correlations
Many of the published multiphase flow correlations are applicable for “vertical flow” only, while others apply for “horizontal flow” only. Other than the Beggs and Brill correlation and the Petalas and Aziz mechanistic model, there are not many correlations that were developed for the whole spectrum of flow situations that can be encountered in oil and gas operations; namely uphill, downhill, horizontal, inclined and vertical flow. However, we have adapted all of the correlations (as appropriate) so that they apply to all flow situations. The following is a list of the multiphase flow correlations that are available.
1. Gray: The Gray Correlation (1978) was developed for vertical flow in wet gas wells. We have modified it so that it applies to flow in all directions by calculating the hydrostatic pressure difference using only the vertical elevation of the pipeline segment and the friction pressure loss based on the total length of the pipeline.
Hagedorn and Brown: The Hagedorn and Brown Correlation (1964) was developed for vertical flow in oil wells. We have also modified it so that it applies to flow in all directions by calculating the hydrostatic pressure difference using only the vertical elevation of the pipe segment and the friction pressure loss based on the total pipeline length.
2. Beggs and Brill: The Beggs and Brill Correlation (1973) is one of the few published correlations capable of handling all of the flow directions. It was developed using sections of pipeline that could be inclined at any angle.
3. Flanigan: The Flanigan Correlation (1958) is an extension of the Panhandle single-phase correlation to multiphase flow. It incorporates a correction for downhill flow. In this software, the Flanigan multiphase correlation is also applied to the Modified Panhandle and Weymouth correlations. It is recommended that this correlation not be used beyond +/- 10 degrees from the horizontal.
4. Modified-Flanigan: The Modified Flanigan Correlation is an extension of the Modified Panhandle single-phase equation to multiphase flow. It incorporates the Flanigan correction of the Flow Efficiency for multiphase flow and a calculation of hydrostatic pressure difference to account for uphill flow. There is no hydrostatic pressure recovery for downhill flow. In this software, the Flanigan multiphase correlation is also applied to the Panhandle and Weymouth correlations. It is recommended that this correlation not be used beyond +/- 10 degrees from the horizontal.
5. Petalas and Aziz: The Petalas and Aziz Model (2000) is a correlation that was developed to overcome the limitations imposed by using previous correlations. It applies to all pipe geometries, fluid properties and flow in all directions. A mechanistic approach (fundamental laws) are combined with empirical closure relationships to provide a model that is more robust than other models and can be to used predict pressure drop and holdup in pipes over a more extensive range of conditions.
Each of these correlations was developed for its own unique set of experimental conditions or designed using a mechanistic modeling approach, and accordingly, results will vary between them.
For multiphase flow in essentially vertical wells, the available correlations are Beggs and Brill, Petalas and Aziz, Gray and Hagedorn and Brown. If used for single-phased flow, these four correlations devolve to the Fanning Gas or Fanning Liquid correlation.
When switching from multiphase flow to single-phase flow, the correlation will default to Fanning. When switching from single-phase to multiphase flow, the correlation will default to Beggs and Brill.
Important Notes:
- The Flanigan, Modified-Flanigan and Weymouth (Multiphase) correlations can give erroneous results if the pipe described deviates substantially (more than 10 degrees) from the horizontal. The Gray and Hagedorn and Brown correlations were derived for vertical wells and may not apply to horizontal pipes.
- In Piper, the Gray, the Hagedorn and Brown and the Beggs and Brill correlations revert to the appropriate single-phase Fanning correlation (Fanning Liquid or Fanning Gas. The Flannigan and Modified-Flanigan revert to the Panhandle, Modified Panhandle and Weymouth respectively.
Beggs and Brill Correlation
For multiphase flow, many of the published correlations are applicable for "vertical flow" only, while others apply for "horizontal flow" only. Few correlations apply to the whole spectrum of flow situations that may be encountered in oil and gas operations, namely uphill, downhill, horizontal, inclined and vertical flow. The Beggs and Brill (1973) correlation, is one of the few published correlations capable of handling all these flow directions. It was developed using 1" and 1-1/2" sections of pipe that could be inclined at any angle from the horizontal.
The Beggs and Brill multiphase correlation deals with both the friction pressure loss and the hydrostatic pressure difference. First the appropriate flow regime for the particular combination of gas and liquid rates (Segregated, Intermittent or Distributed) is determined. The liquid holdup, and hence, the in-situ density of the gas-liquid mixture is then calculated according to the appropriate flow regime, to obtain the hydrostatic pressure difference. A two-phase friction factor is calculated based on the "input" gas-liquid ratio and the Fanning friction factor. From this the friction pressure loss is calculated using "input" gas-liquid mixture properties. A more detailed discussion of each step is given in the following documentation.
If only a single-phase fluid is flowing, the Beggs and Brill multiphase correlation devolves to the Fanning Gas or Fanning Liquid correlation.
Flow Pattern Map
Unlike the Gray or the Hagedorn and Brown correlations, the Beggs and Brill correlation requires that a flow pattern be determined. Since the original flow pattern map was created, it has been modified. We have used this modified flow pattern map for our calculations. The transition lines for the modified correlation are defined as follows:
The flow type can then be readily determined either from a representative
flow pattern map or according to the following conditions, where
SEGREGATED flow
if
and ![]()
or
and ![]()
INTERMITTENT flow
If
and ![]()
or
and ![]()
DISTRIBUTED flow
if
and ![]()
or
and ![]()
TRANSITION flow
if and
Hydrostatic Pressure Difference
Once the flow type has been determined then the liquid holdup can be calculated. Beggs and Brill divided the liquid holdup calculation into two parts. First the liquid holdup for horizontal flow, EL(0), is determined, and then this holdup is modified for inclined flow. EL(0) must be ≥ CL and therefore when EL(0) is smaller than CL, EL(0) is assigned a value of CL. There is a separate calculation of liquid holdup (EL(0)) for each flow type.
SEGREGATED
INTERMITTENT
DISTRIBUTED
IV. TRANSITION
Where:
and 
Once the horizontal in situ liquid volume fraction is determined, the actual liquid volume fraction is obtained by multiplying EL(0) by an inclination factor, B(θ). i.e.
Where:
β is a function of flow type, the direction of inclination of the pipe (uphill flow or downhill flow), the liquid velocity number (Nvl), and the mixture Froude Number (Frm).
The liquid velocity number (Nvl) is defined as:
For UPHILL flow:
SEGREGATED
INTERMITTENT
DISTRIBUTED
For DOWNHILL flow:
I, II, III. ALL flow types
Note: β must always be ≥ 0. Therefore, if a negative value is calculated for β, β = 0.
Once the liquid holdup (EL(θ)) is calculated, it is used to calculate the mixture density (ρm). The mixture density is, in turn, used to calculate the pressure change due to the hydrostatic head of the vertical component of the pipe or well.
Friction Pressure Loss
The first step to calculating the pressure drop due to friction is to calculate the empirical parameter S. The value of S is governed by the following conditions:
if 1 < y < 1.2, then
otherwise,
where:
Note: Severe instabilities have been observed when these equations are used as published. Our implementation has modified them so that the instabilities have been eliminated.
A ratio of friction factors is then defined as follows:
fNS is the no-slip friction factor. We use the Fanning friction factor, calculated using the Chen equation. The no-slip Reynolds Number is also used, and it is defined as follows:
Finally, the expression for the pressure loss due to friction is:
Nomenclature
CL = liquid input volume fraction
D = inside pipe diameter (ft)
EL(0) = horizontal liquid holdup
EL(θ) = inclined liquid holdup
ftp = two phase friction factor
fNS = no-slip friction factor
Frm = Froude Mixture Number
g = gravitational acceleration (32.2 ft/s2)
gc = conversion factor (32.2 (lbm*ft)/(lbf*s2) )
L = length of pipe (ft)
Nvl = liquid velocity number
Vm = mixture velocity (ft/s)
Vsl = superficial liquid velocity
(ft/s)
ΔZ = elevation change (ft)
µNS = no-slip viscosity (cp)
θ = angle of inclination from the horizontal (degrees)
ρL = liquid density (lb/ft3)
ρNS = no-slip density (lb/ft3)
ρm = mixture density (lb/ft3)
σ = gas/liquid surface tension (dynes/cm)
Distributed Flow Flag for Beggs and Brill Correlations
The Distributed Flow Flag in Piper is used when the Beggs and Brill or Modified Beggs and Brill correlation is selected.
The distributed flow flag is found on a well by well basis in the Wellbore Tuning menu:
It is also found as a general correlation default in the Pressure Loss Correlations menu:
Both Beggs and Brills correlations calculate the pressure drop across the pipe segment by first determining the flow regime that the fluid is flowing in. The flow can exist in one of three regimes.
- Distributed Flow
- Intermittent Flow
- Segregated Flow
By turning on the Distributed Flow flag, Piper will overrule the flow regime naturally determined by the Beggs and Brill correlation and force distributed flow in the segment.
Piper allows for this option to prevent against multiple solutions. It is used primarily in wellbores. The Beggs and Brill correlation, applied to vertical wellbore flow, will in some cases predict increasing pressure drops with decreasing gas flows as the segregated and intermittent flow regimes increase liquid hold-up in the wellbore . This scenario can result in wellhead deliverability curves where for some pressures, multiple deliverability solutions exist.
To prevent against multiple solutions, Piper will not allow a well to flow outside of the distributed flow regime. When the Beggs and Brill flow regime is intermittent or segregated, a message will be returned, alerting the user that 'the well is susceptible to liquid loading and has been shut-in'.
Forcing distributed flow by checking the distributed flow tab is an alternative that will allow the well to flow even outside of the distributed flow regime.
References
Beggs, H. D., and Brill, J.P., "A Study of Two-Phase Flow in Inclined Pipes," JPT, 607-617, May 1973. Source: JPT.
Petalas and Aziz Correlation
For multiphase flow, many of the published correlations are applicable for "vertical flow" only, while others apply for "horizontal flow" only. Few correlations apply to the whole spectrum of flow situations that may be encountered in oil and gas operations, namely uphill, downhill, horizontal, inclined and vertical flow. The Petalas and Aziz (2000) correlation is capable of handling flow in all directions. It was developed using a mechanistic approach (based on fundamental laws) and combined with empirical correlations. Petalas and Aziz deemed some of the available correlations for multiphase flow inadequate to use in their model and developed new correlations using experimental data from Standford University’s Multiphase Flow Database. The information in this database allowed for a more detailed investigation of annular-mist, stratified and intermittent flow regimes.
The Petalas and Aziz multiphase correlation accounts for both frictional pressure loss and hydrostatic pressure differences. Initially, a flow pattern is determined by comparing the gas and liquid superficial velocities to the stability criteria (flow regime boundaries) dictated by the mechanistic model. Each particular combination of gas and liquid rates are characterized by the following flow regimes:
- Dispersed Bubble Flow
- Stratified Flow
- Annular-mist Flow
- Bubble Flow
- Intermittent Flow
The liquid volume fraction and therefore the in-situ gas-liquid mixture densities are then calculated according to the appropriate flow distribution to obtain the hydrostatic pressure component of the pressure gradient. A friction factor is obtained for each flow regime by standard methods using pipe roughness and a Reynold’s number defined specifically for each flow type. A more detailed discussion of the calculations for this multiphase flow correlation are outlined in the sections below.
If only a single-phase fluid is flowing, the Petalas and Aziz multiphase correlation devolves to the Fanning Gas or Fanning Liquid correlation.
Flow Pattern Determination
The Petalas and Aziz model for multiphase flow requires that a flow pattern be determined. Transition between flow regimes are based on superficial velocities of the phases and bounded by stability criteria characterized by this mechanistic model. Five flow patterns are defined in this model and the transition zones for this correlation are given below:
DISPERSED BUBBLE FLOW
Dispersed bubble flow exists if:
And if:
STRATIFIED FLOW
- Calculate the dimensionless liquid height (
)
Use momentum balance equations for gas and liquid phases:
Stratified flow exists if:
And if:
(Note: When cosθ ≤ 0.02, cosθ =0.02)
To distinguish between stratified smooth and stratified wavy flow regimes:
Stratified smooth flow exists if:
And if:
ANNULAR-MIST FLOW
- Calculate the dimensionless liquid film thickness (
)
Use momentum balance on the liquid film and gas core with liquid droplets:
Annular-mist flow exists if:
Where
is determined
from the following equations:
Solve for
iteratively.
And if:
BUBBLE FLOW
Bubble flow exists if:
And if:
Where:
C1 = 0.8
γ = 1.3
db = 7mm
Also, transition to bubble flow from intermittent flow occurs when:
Where:
(Note: Additional definitions are given in the Intermittent Flow section.)
INTERMITTENT FLOW
Note: The intermittent flow model used here includes Slug and Elongated Bubble flow regimes.
Intermittent flow exists if:
EL > 0.24
Where:
(Note: If EL > 1, then EL = CL)
And if:
Where:
If EL > 0.24 and ELs < 0.9 then Slug Flow
If EL > 0.24 and ELs > 0.9 the Elongated Bubble Flow
FROTH FLOW
If none of the transition criteria for intermittent flow are met, the flow pattern is then designated as “Froth”. Froth flow implies a transitional state between the other flow regimes.
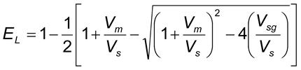
Hydrostatic Pressure Difference
Once the flow type has been determined then the liquid holdup can be calculated. There is a separate calculation of liquid holdup (EL) for each flow type.
DISPERSED BUBBLE FLOW
The calculation of liquid volume fraction for dispersed bubble flow uses the same procedure for calculating the dispersed bubbles in the slug in intermittent flow (see intermittent flow for additional details).
Where C0 is determined from the empirical correlation:
And Vb (the rise velocity of the dispersed bubbles) determined from:
Now, EL is given by:
If VGdb ≤0, then EL is given by:
Note: If EL is calculated to be great than 1.0, the EL is set equal to CL.
Once the liquid holdup (EL) has been calculated, it is then used to calculate the mixture density (ρm). The mixture density can now be used to calculate the pressure change due to the hydrostatic head for the segment of pipe being investigated.
STRATIFIED FLOW
Liquid volume fraction (EL) is given by:
The ΔPHH is then calculated from the hydrostatic portion of the gas and liquid phase momentum balance equations.
Where:
ANNULAR-MIST FLOW
Liquid volume fraction (EL) is determined using geometric considerations and a known liquid thickness, by the following equation:
The ΔPHH is then calculated from the hydrostatic portion of the gas and liquid phase momentum balance equations.
Where:
BUBBLE FLOW
The bubble flow volumetric gas fraction is given by:
Where Vt is the translational bubble velocity:
With Co assumed to be 1.2 and Vb given by the equation below:
The value of EG is characterized by the range where:
Once the volumetric gas fraction (EG) has been calculated, it is then used to calculate the mixture density (ρm). The mixture density can now be used to calculate the pressure change due to the hydrostatic head for the segment of pipe being investigated.
INTERMITTENT FLOW
Liquid volume fraction (EL) is given by:
Once the liquid holdup (EL) has been calculated, it is then used to calculate the mixture density (ρm). The mixture density can now be used to calculate the pressure change due to the hydrostatic head for the segment of pipe being investigated.
Friction Pressure Loss
The frictional portion of the overall pressure gradient is determined based on pipe geometry and flow distribution. Each flow type has a separate calculation used to determine the pressure losses due to friction. The details of these calculations are summarized here.
DISPERSED BUBBLE FLOW
The first step to determine the frictional pressure loss is to obtain a friction factor, fm. The friction factor is obtained from standard methods using pipe roughness and Reynolds number, Rem:
Where mixture density (ρm) and mixture viscosity (µm) are calculated from:
Finally, the expression for the pressure loss due to friction is:
STRATIFIED FLOW
The shear stresses for the stratified flow regime are determined using the following relationships:
Where:
The friction factor at the gas/wall interface, fG is determined using a single phased flow approach, the pipe roughness and the following Reynold’s number:
The friction factor for the liquid/wall interface, fL, follows the empirical relationship:
The superficial velocity friction factor, fsL, is obtained from standard methods using the pipe roughness and Reynolds number, ResL:
The interfacial friction factor, fi, is obtained from the empirical relationship:
Where the Froude number, FrL, is defined as:
Finally, the expression for the pressure loss
due to friction is determined from a portion of the momentum balance equations:

ANNULAR-MIST FLOW
The shear stresses for the annular-mist flow regime are determined using the following relationships:
The friction factor for the liquid film, ff, is found using standard methods using the piper roughness and the film Reynolds number:
The interfacial friction factor, fi, and the liquid fraction entrained, FE, also need to be determined. These are defined by empirical relationships.
Where NB (a dimensionless number) is defined as:
Finally, the expression for the pressure loss due to friction is determined from a portion of the momentum balance equations:
BUBBLE FLOW
The friction factor for bubble flow, fmL, is obtained from standard methods using pipe roughness and the following definition of Reynolds number:
Now, the expression for the pressure loss due to friction is:
INTERMITTENT FLOW
The frictional pressure loss for intermittent flow is taken from the momentum balance written for a slug-bubble unit:
There is no reliable method to determine the slug length, Ls, the length of the bubble region, Lf, of the frictional pressure loss in the gas bubble. Therefore, the following simplified approach is adopted given the stated uncertainties.
Where η is a weighting factor determined empirically relation the slug length to the total slug unit length (Ls/Lu):
Where η ≤ 1.0
Now the frictional pressure gradient for the slug portion,
, is obtained from:
The friction factor, fmL, is calculated from standard methods using piper roughness and the following Reynolds number:
The annular-mist frictional pressure gradient is calculated from:
Where the shear stress, τwL, is determined from:
When the calculated film height is less than 1x10-4, the frictional pressure gradient
for the annular-mist flow portion,
, is obtained from:
Where the friction factor, fm, is obtained from standard methods using the pipe roughness and the following Reynolds number:
Note: For the Petalas and Aziz correlation in Piper, convergence issues have been observed for heavily looped systems with very low gas rates and extremely high liquid rates.
Nomenclature
D = inside pipe diameter (ft)
EL = in-situ liquid volume fraction (liquid holdup)
ftp = two-phase friction factor
A = Cross-sectional area
C0 = Velocity distribution coefficient
D = Pipe internal diameter
E = In situ volume fraction
FE = Liquid fraction entrained
g = Acceleration due to gravity
hL = Height of liquid (stratified flow)
L = Length
p = Pressure
Re = Reynolds number
S = Contact perimeter
VSG = Superficial gas velocity
VSL = Superficial liquid velocity
δL = Liquid film thickness (annular-mist)
ε = Pipe roughness
η = Pressure gradient weighting factor (intermittent flow)
θ = Angle of inclination
µ = Viscosity
ρ = Density
σ = Interfacial (surface) tension
τ = Shear stress
= Dimensionless quantity, x
Subscripts
b = relating to the gas bubble
c = relating to the gas core
f = relating to the liquid film
db = relating to the dispersed bubbles
G = relating to the gas phase
i = relating to the gas/liquid interface
L = relating to the liquid phase
m = relating to the mixture
SG = based on superficial gas velocity
s = relating to the liquid slug
SL = based on superficial liquid velocity
wL = relating to the wall-liquid interface
wG = relating to the wall-gas interface
References
Petalas, N., and Aziz, K., “A Mechanistic Model for Multiphase Flow in Pipes”, JCPT, 43-55, June 2000. Source: JCPT.
Gray Correlation
The Gray correlation was developed by H.E. Gray (Gray, 1978), specifically for wet gas wells. Although this correlation was developed for vertical flow, we have implemented it in both vertical and inclined pipe pressure drop calculations. To correct the pressure drop for situations with a horizontal component, the hydrostatic head has only been applied to the vertical component of the pipe while friction is applied to the entire length of pipe.
First, the in-situ liquid volume fraction is calculated. The in-situ liquid volume fraction is then used to calculate the mixture density, which is in turn used to calculate the hydrostatic pressure difference. The input gas liquid mixture properties are used to calculate an "effective" roughness of the pipe. This effective roughness is then used in conjunction with a constant Reynolds Number of 107 to calculate the Fanning friction factor. The pressure difference due to friction is calculated using the Fanning friction pressure loss equation.
Hydrostatic Pressure Difference
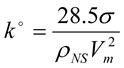
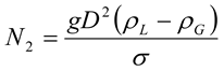
The Gray correlation uses three dimensionless numbers, in combination, to predict the in situ liquid volume fraction. These three dimensionless numbers are:
where:
They are then combined as follows:
where:
Once the liquid holdup (EL) is calculated it is used to calculate the mixture density (ρm). The mixture density is, in turn, used to calculate the pressure change due to the hydrostatic head of the vertical component of the pipe or well.
Note: For the equations found in the Gray correlation, σ is given in lbmass / s2. We have implemented them using σ with units of dynes / cm and have converted the equations by multiplying σ by 0.00220462. (1 dyne / cm = 0.00220462 lbf / s2)
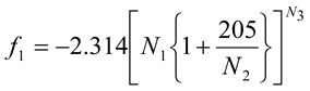
Friction Pressure Loss
The Gray Correlation assumes that the effective roughness of the pipe
(ke) is dependent on the value of
Rv. The conditions are as follows:
if
if

where:

The effective roughness (ke) must be larger than or equal to 2.77 x 10-5.
The relative roughness of the pipe is then calculated by dividing the effective roughness by the diameter of the pipe. The Fanning friction factor is obtained using the Chen equation and assuming a Reynolds Number (Re) of 107. Finally, the expression for the friction pressure loss is:
Note: The original publication contained a misprint (0.0007 instead of 0.007). Also, the surface tension (σ) is given in units of lbf /s2. We used a conversion factor of 0.00220462 dynes/cm = 1 lbf /s2.
Nomenclature
D = inside pipe diameter (ft)
EL = in-situ liquid volume fraction
(liquid holdup)
ftp = two-phase friction factor
g = gravitational acceleration (32.2 ft/ s2)
gc = conversion factor (32.2 (lbm ft)/(lbf
s2))
k = absolute roughness of the pipe (in)
ke = effective roughness (in)
L = length of pipe (ft)
ΔPHH = pressure change due to hydrostatic
head (psi)
ΔPf = pressure change due to friction
(psi)
Vsl = superficial liquid velocity
(ft/s)
Vsg = superficial gas velocity (ft/s)
Vm = mixture velocity (ft/s)
Δz = elevation change (ft)
ρG = gas density (lb/ft3)
ρL = liquid density (lb/ft3)
ρNS = no-slip density (lb/ft3)
ρm = mixture density (lb/ft3)
σ = gas / liquid surface tension (lbf/s2)
Hagedorn and Brown Correlation
Experimental data obtained from a 1500ft deep, instrumented vertical well was used in the development of the Hagedorn and Brown correlation. Pressures were measured for flow in tubing sizes that ranged from 1 " to 1 ½" OD. A wide range of liquid rates and gas/liquid ratios were used. As with the Gray correlation, our software will calculate pressure drops for horizontal and inclined flow using the Hagedorn and Brown correlation, although the correlation was developed strictly for vertical wells. The software uses only the vertical depth to calculate the pressure loss due to hydrostatic head, and the entire pipe length to calculate friction.
The Hagedorn and Brown method has been modified for the Bubble Flow regime (Economides et al, 1994). If bubble flow exists, then the Griffith correlation is used to calculate the in-situ volume fraction. In this case the Griffith correlation is also used to calculate the pressure drop due to friction. If bubble flow does not exist then the original Hagedorn and Brown correlation is used to calculate the in-situ liquid volume fraction. Once the in-situ volume fraction is determined, it is compared with the input volume fraction. If the in-situ volume fraction is smaller than the input volume fraction, the in-situ fraction is set to equal the input fraction (EL=CL). Next, the mixture density is calculated using the in-situ volume fraction and used to calculate the hydrostatic pressure difference. The pressure difference due to friction is calculated using a combination of "in-situ" and "input" gas-liquid mixture properties.
Hydrostatic Pressure Difference
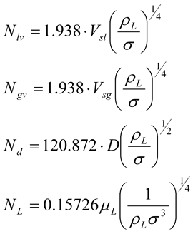
The Hagedorn and Brown correlation uses four dimensionless parameters to correlate liquid holdup. These four parameters are:

Various combinations of these parameters are then plotted against each other to determine the liquid holdup.
For the purposes of programming, these curves were converted into equations.
The first curve provides a value for . This value is then used to calculate
a dimensionless group,
. can
then be obtained from a plot of vs.
.
Finally, the third curve is a plot of vs. another dimensionless group
of numbers,
. Therefore, the
in-situ liquid volume fraction, which is denoted by , is calculated by:

The hydrostatic head is once again calculated by the standard equation:

where:
Friction Pressure Loss
The friction factor is calculated using the Chen equation and a Reynolds number equal to:

Note: In the Hagedorn and Brown correlation the mixture viscosity is given by:
The pressure loss due to friction is then given by:

where:

Modifications
We have implemented two modifications to the original Hagedorn and Brown Correlation. The first modification is simply the replacement of the liquid holdup value with the "no-slip" (input) liquid volume fraction if the calculated liquid holdup is less than the "no-slip" liquid volume fraction.
If EL < CL, then EL = CL.
The second modification involves the use of the Griffith correlation (1961) for the bubble flow regime. Bubble flow exists if CG < LB where:

If the calculated value of LB is less than 0.13 then LB is set to 0.13. If the flow regime is found to be bubble flow then the Griffith correlation is applied, otherwise the original Hagedorn and Brown correlation is used.
The Griffith Correlation (Modification to the Hagedorn and Brown Correlation)
In the Griffith correlation the liquid holdup is given by:

where:
The in-situ liquid velocity is given by:
The hydrostatic head is then calculated the standard way.
The pressure drop due to friction is also affected by the use of the Griffith correlation because EL enters into the calculation of the Reynolds Number via the in-situ liquid velocity. The Reynolds Number is calculated using the following format:
The single phase liquid density, in-situ liquid velocity and liquid viscosity are used to calculate the Reynolds Number. This is unlike the majority of multiphase correlations, which usually define the Reynolds Number in terms of mixture properties not single phase liquid properties. The Reynolds number is then used to calculate the friction factor using the Chen equation. Finally, the friction pressure loss is calculated as follows:

The liquid density and the in-situ liquid velocity are used to calculate the pressure drop due to friction.
Nomenclature
CL = input liquid volume fraction
CG = input gas volume fraction
D = inside pipe diameter (ft)
EL = in-situ liquid volume fraction
(liquid holdup)
f = Fanning friction factor
g = gravitational acceleration (32.2 ft/ s2)
gc = conversion factor (32.2 (lbm ft) / (lbf
s2))
L = length of calculation segment (ft)
ΔPHH = pressure change due to hydrostatic
head (psi)
ΔPf = pressure change due to friction
(psi)
Vsl = superficial liquid velocity
(ft/s)
Vsg = superficial gas velocity (ft/s)
Vm = mixture velocity (ft/s)
VL = in-situ liquid velocity (ft/s)
Δz = elevation change (ft)
µL = liquid viscosity (cp)
µm = mixture viscosity (cp)
µG = gas viscosity (cp)
ρG = gas density (lb/ft3)
ρL = liquid density (lb/ft3)
ρNS = no-slip density (lb/ft3)
ρm = mixture density (lb/ft3)
ρf = (ρNS2 / ρm)
(lb/ft3)
σ = gas / liquid surface tension (dynes/cm)
Flanigan Correlation
The Flanigan correlation is an extension of the Panhandle single-phase correlation to multiphase flow. It was developed to account for the additional pressure loss caused by the presence of liquids. The correlation is empirical and is based on studies of small amounts of condensate in gas lines. To account for liquids, Flanigan developed a relationship for the Flow Efficiency term of the Panhandle equation as a function of superficial gas velocity and liquid to gas ratio. Flanigan also developed a liquid holdup factor to account for the hydrostatic pressure difference in upward inclined flow.
In Piper, the Flanigan correlation has been applied to the Panhandle and Modified Panhandle correlations such that Flanigan is derived from Panhandle and the Modified Flanigan derives from Modified Panhandle.
Friction Pressure Loss
In the Flanigan correlation, the friction pressure drop calculation accounts for liquids by adjusting the Panhandle efficiency (E) according to the following plot.
Note: When gas velocities are high or liquid-gas ratios are very low, the Panhandle efficiency approaches 85%.
Hydrostatic Pressure Difference
When calculating the pressure losses due to hydrostatic effects the Flanigan correlation ignores downhill flow. The hydrostatic head caused by the liquid content is calculated as follows:
Where:
ρL = liquid density (lb/ft3)
hi = the vertical "rises"
of the individual sections of the pipeline (ft)
EL = Flanigan holdup factor (in-situ
liquid volume fraction)
The Flanigan holdup factor is calculated using the following equation.
Application of the Flanigan hydrostatic pressure calculation (including gas hydrostatic) has been implemented for each pipe segment in the following form:
and EL is defined as per Flanigan’s original work.
Nomenclature
E = Panhandle efficiency
EL = Flanigan holdup factor (in-situ
liquid volume fraction)
g = gravitational acceleration (32.2 ft/ s2)
gc = conversion factor (32.2 (lbm ft) / (lbf
s2))
h = vertical rise of the pipeline segment
hi = the vertical "rises"
of the individual sections of the pipeline (ft)
ΔPHH = pressure change due to hydrostatic
head (psi)
ΔPf = pressure change due to friction
(psi)
Vsg = superficial gas velocity (ft/s)
ρL = liquid density (lb/ft3)
Modified-Flanigan Correlation
The Modified Flanigan correlation is an extension to the Modified Panhandle single-phase correlation. The Flanigan correlation was developed as a method to account for the additional pressure loss caused by the presence of liquids. The correlation is empirical and is based on studies of small amounts of condensate in gas lines. To account for liquids, Flanigan developed a relationship for the Flow Efficiency term of the Panhandle equation as a function of superficial gas velocity and liquid to gas ratio. Flanigan also developed a liquid holdup factor to account for the hydrostatic pressure difference in upward inclined flow.
In Piper, the Flanigan correlation has been applied to the Panhandle and Modified Panhandle correlations such that Flanigan is derived from Panhandle and the Modified Flanigan derives from Modified Panhandle.
Friction Pressure Loss
In the Flanigan correlation, the friction pressure drop calculation accounts for liquids by adjusting the Panhandle efficiency (E) according to the following plot.
Note: When gas velocities are high or liquid-gas ratios are very low, the Panhandle efficiency approaches 85%.
Hydrostatic Pressure Difference
When calculating the pressure losses due to hydrostatic effects the Flanigan correlation ignores downhill flow. The hydrostatic head caused by the liquid content is calculated as follows:
Where:
ρL = liquid density (lb/ft3)
hi = the vertical "rises"
of the individual sections of the pipeline (ft)
EL = Flanigan holdup factor (in-situ
liquid volume fraction)
The Flanigan holdup factor is calculated using the following equation:
Application of the Flanigan hydrostatic pressure calculation (including gas hydrostatic) has been implemented for each pipe segment in the following form:

A and EL are defined as per Flanigan’s original work.
Nomenclature
E = Panhandle efficiency
EL = Flanigan holdup factor (in-situ
liquid volume fraction)
g = gravitational acceleration (32.2 ft/ s2)
gc = conversion factor (32.2 (lbm ft) / (lbf
s2))
h = vertical rise of the pipeline segment
hi = the vertical "rises"
of the individual sections of the pipeline (ft)
ΔPHH = pressure change due to hydrostatic
head (psi)
ΔPf = pressure change due to friction
(psi)
Vsg = superficial gas velocity (ft/s)
ρL = liquid density (lb/ft3)
Weymouth Correlation
This correlation is similar in its form to the Panhandle and the Modified Panhandle correlations. It was designed for single-phase gas flow in pipelines. As such, it calculates only the pressure drop due to friction. However, we have applied the standard equation for calculating hydrostatic head to the vertical component of the pipe, and thus our Weymouth correlation accounts for HORIZONTAL, INCLINED and VERTICAL pipes. The Weymouth equation can only be used for single-phase gas flow.
Friction Pressure Loss
The pressure drop due to friction is given by:

Where: κ = 5.3213 x 10-6
The Weymouth equation incorporates a simplified representation of the friction factor, which is built into the equation. To account for real life situations, the flow efficiency factor, E, was included in the equation. The flow efficiency generally used is 115%. Our software defaults to this value as well (Mattar and Zaoral, 1984).
Hydrostatic Pressure Loss
The original Weymouth equation only accounted for ΔPf. However, by applying the hydrostatic head calculations, the Weymouth equation has been adapted for vertical and inclined pipes. The hydrostatic head is calculated by:

Nomenclature
D = pipe inside diameter (in)
E = Panhandle/Weymouth efficiency factor
G = gas gravity
g = gravitational acceleration (32.2 ft/ s2)
gc = conversion factor (32.2 (lbm ft) / (lbf
s2))
L = length (mile)
P° = reference pressure for standard conditions
P1 = upstream pressure
P2 = downstream pressure
ΔPHH = pressure change due to hydrostatic
head (psi)
QG° = gas flow rate at standard conditions,
T°, P°, (ft3/d)
T° = reference temperature for standard conditions (°R)
Ta = average temperature (°R)
za = average compressibility factor
Δz = elevation change (ft)
ρG = gas density (lb/ft3)
Panhandle Correlations
The original Panhandle correlation (Gas Processors Suppliers Association, 1980) was developed for single-phase gas flow in horizontal pipes. As such, only the pressure drop due to friction was taken into account by the Panhandle equation. However, we have applied the standard equation for calculating hydrostatic head to the vertical component of the pipe, and thus our Panhandle correlation accounts for horizontal, inclined and vertical pipes. The Panhandle correlation can only be used for single-phase gas flow.
Friction Pressure Loss
The Panhandle correlation can be written as follows:

Where: κ = 1.279 x 10-5
The Panhandle equation incorporates a simplified representation of the friction factor, which is built into the equation. To account for real life situations, the flow efficiency factor, E, was included in the equation. This flow efficiency generally ranges from 0.8 to 0.95. Although we recognize that a common default for the flow efficiency is 0.92, our software defaults to E = 0.85, as our experience has shown this to be more appropriate (Mattar and Zaoral, 1984).
Hydrostatic Pressure Difference
The original Panhandle equation only accounted for . However, by applying the hydrostatic head calculations the Panhandle correlation has been adapted for vertical and inclined pipes. The hydrostatic head is calculated by:
Nomenclature
D = pipe inside diameter (in)
E = Panhandle/Weymouth efficiency factor
G = gas gravity
g = gravitational acceleration (32.2 ft/ s2)
gc = conversion factor (32.2 (lbm ft) / (lbf
s2))
L = length (mile)
P° = reference pressure for standard conditions
P1 = upstream pressure
P2 = downstream pressure
ΔPHH = pressure change due to hydrostatic
head (psi)
QG° = gas flow rate at standard conditions,
T°, P°, (ft3/d)
T° = reference temperature for standard conditions (°R)
Ta = average temperature (°R)
za = average compressibility factor
Δz = elevation change (ft)
ρG = gas density (lb/ft3)
Modified Panhandle Correlation
The Modified Panhandle correlation (Gregory, et al, 1980) is a modified version of the original Panhandle equation (Gas Processors Suppliers Association, 1980) and is sometimes referred to as the Panhandle Eastern Correlation or the Panhandle B correlation. As such, the Modified Panhandle is also a single-phase correlation for horizontal flow. As with the original Panhandle equation, we have applied the standard hydrostatic head equation to the vertical component of the pipe, and thus, our Modified Panhandle correlation accounts for horizontal, inclined and vertical flow. The Modified Panhandle correlation can only be used for single-phase gas flow.
Friction Pressure Loss
The pressure drop due to friction is given by:

Where: κ = 2.385 x 10-6
Similarly to the original Panhandle equation, the Modified Panhandle equation used a simplified representation of the friction factor, which was built into the equation. To account for real life situations, a flow efficiency, E, was included in the equation. Although this efficiency factor is generally thought to range from 0.88 to 0.94, our software defaults to E = 0.80, as this is considered to be more appropriate. (Mattar and Zaoral, 1984).
Hydrostatic Pressure Difference
We have accounted for the vertical component of flow in pipes by using the standard equation for hydrostatic head.
Nomenclature
D = pipe inside diameter (in)
E = Panhandle/Weymouth efficiency factor
G = gas gravity
g = gravitational acceleration (32.2 ft/ s2)
gc = conversion factor (32.2 (lbm ft) / (lbf
s2))
L = length (mile)
P° = reference pressure for standard conditions
P1 = upstream pressure
P2 = downstream pressure
ΔPHH = pressure change due to hydrostatic
head (psi)
QG° = gas flow rate at standard conditions,
T°, P°, (ft3/d)
T° = reference temperature for standard conditions (°R)
Ta = average temperature (°R)
za = average compressibility factor
Δz = elevation change (ft)
ρG = gas density (lb/ft3)
Fanning Gas Correlation (Multi-step Cullender and Smith)
The Fanning friction factor pressure loss (ΔPf) can be combined with the hydrostatic pressure difference (ΔPHH) to give the total pressure loss. The Fanning Gas Correlation is the name used in this document to refer to the calculation of the hydrostatic pressure difference (ΔPHH) and the friction pressure loss (ΔPf) for single-phase gas flow, using the following standard equations.
This formulation for pressure drop is applicable to pipes of all inclinations. When applied to a vertical wellbore it is equivalent to the Cullender and Smith method. However, it is implemented as a multi-segment procedure instead of a 2 segment calculation.
Friction Pressure Loss
The Fanning equation is widely thought to be the most generally applicable single phase equation for calculating friction pressure loss. It utilizes friction factor charts (Knudsen and Katz, 1958), which are functions of Reynold’s number and relative pipe roughness. These charts are also often referred to as the Moody charts. We use the equation form of the Fanning friction factor as published by Chen, 1979.
The method for calculating the Fanning Friction factor is the same for single-phase gas or single-phase liquid.
Hydrostatic Pressure Difference
The calculation of hydrostatic head is different for a gas than for a liquid, because gas is compressible and its density varies with pressure and temperature, whereas for a liquid a constant density can be safely assumed. Either way the hydrostatic pressure difference is given by:
Since varies with pressure, the calculation must be done sequentially in small steps to allow the density to vary with pressure.
Nomenclature
D = pipe inside diameter (in)
f = Fanning friction factor
g = gravitational acceleration (32.2 ft/ s2)
gc = conversion factor (32.2 (lbm ft) / (lbf
s2))
k/D = relative roughness (unitless)
L = length (ft)
ΔPHH = pressure change due to hydrostatic
head (psi)
ΔPf = pressure change due to friction
(psi)
Re = Reynold’s number
V = velocity (ft/s)
Δz = elevation change (ft)
ρG = gas density (lb/ft3)
Terminology
Flow Efficiency
Flow efficiency is a tuning parameter used to match calculated pressures to measured pressures. These two pressures often differ as most calculations involve unknowns, approximations, assumptions, or measurement errors. When measured pressures are available for comparison with calculated values, the Flow Efficiency can be used to obtain a match between the two.
Flow Efficiency applies to the Panhandle family of correlations (Panhandle, Modified Panhandle, and Weymouth). Recommended initial values for flow effciency are Panhandle (85%), Modified Panhandle (80%) and Weymouth (115%). These values were derived from "Gas Pipeline Efficiencies and Pressure Gradient Curves". This technical paper can be found on Fekete’s website. If measured pressures are not available for comparison, then the default value should be used.
Flow Efficiency adjusts the correlation such that decreasing the flow efficiency increases the pressure loss. Efficiencies greater than 100% are possible. Low efficiencies could be a result of roughness caused by factors such as corrosion, scale, sulfur or calcium deposition and restrictions. Restrictions in a wellbore may be caused by downhole equipment, profiles, etc. Low efficiencies could also be the result of liquid loading. Flow efficiencies less than 30% or greater than 150% should be treated with caution.
UNITS: %
DEFAULT:
Panhandle (Original Piper) = 100%
Panhandle = 85%
Modified Panhandle = 80%
Weymouth = 115%
Roughness (k)
This is defined as the distance from the peaks to the valleys in pipe wall irregularities. Roughness is used in the calculation of pressure drop due to friction. For clean, new pipe the roughness is determined by the method of manufacture and is usually between 0.00055 to 0.0019 inches (Cullender and Binckley, 1950, Smith et al. 1954, Smith et al. 1956). For new pipe or tubing used in gas wells the roughness has been found to be in the order of 0.00060 or 0.00065 inches. Roughness must be between 0 and 0.01 inches.
Roughness can be used to tune the correlations to measured conditions in a similar way to the Flow Efficiency. Changes in roughness only affect the friction component of the calculations while the Flow Efficiency is applied to the friction and hydrostatic components of pressure loss. Roughness does not affect the calculations for static conditions. In this case, a match between measured and calculated pressures may be obtained by adjusting the fluid gravity or temperatures, as appropriate.
UNITS: Inches (mm)
DEFAULT: 0.0006 inches
Gas Rate
Typically this refers to the amount of gas flowing through a pipe. It is usually measured in units of volume per unit time.
UNITS: MMscfd (103m3/d)
DEFAULT: None
Liquid Rate
This refers to the amount of liquid flowing through a pipe. It is usually measured in units of volume per unit time.
UNITS: bbl/d (m3/d)
DEFAULT: 0
Inlet Gas Rate
This refers to the amount of gas flowing into a node/unit/link. It is usually measured in units of volume per unit time.
UNITS: MMscfd (103m3/d)
DEFAULT: None
Outlet Gas Rate
Typically this refers to the amount of gas exiting a node/unit/link. It is usually measured in units of volume per unit time.
UNITS: MMscfd (103m3/d)
DEFAULT: None
Gas Velocity
Typically this refers to the speed of the gas flowing through a pipe. It is usually measured in units of distance per unit time.
UNITS: ft/s (m/s)
DEFAULT: None
Erosional Velocity Rate
When fluid flows through a pipe at high velocities, erosion of the pipe can occur. Erosion can occur when the fluid velocity through a pipe is greater than the calculated erosional velocity. The calculation for the erosional velocity is performed using a constant that ranges from 75 to 150. A good value for the constant has been found to be 100, although this can be changed through the Defaults in the Options menu.
UNITS: ft/s (m/s)
DEFAULT: None